- はなもげらとは
とりあえず整数の足し算処理ができる言語処理系を、Javaを使って作ってみる。
- 文字列のソースコードから、処理に必要な文字列を抽出し、ばらばらの文字列に切り分ける処理
- 例えば
10 + 20 + 30 //足し算という文字列を10+20+30という形に切り分ける
- 切り分けられた文字列を トークン と呼ぶ
- 1stステップで必要なトークン種別は、
10のような数値と+のような識別子の2種類 - トークンを Java 上で保持するためのクラスを準備する
- 実装はこちら
- 字句解析器 Lexer(Lexical analyzer)クラスを実装する
- Lexerクラスは文字列を渡すと、下記のようにトークンのリストを返却する振る舞いをする
@Test
public void testLexer() {
//文字列を渡すと
final List<Token> tokens = Lexer.toTokens("10 + 20 + 30");
//トークンリストを返却する
assertThat(tokens, contains(new NumToken(10),
new IdToken("+"),
new NumToken(20),
new IdToken("+"),
new NumToken(30)));
}- 文字列からトークンを抽出するために 正規表現 を利用する
- 数値の判定 :
[0-9]+ - 識別子の判定:
[\\+\\-]
- 数値の判定 :
matcher.group()のマッチ位置でトークン種別を判定する- 数値と識別子の判定合わせた正規表現
\\s*(([0-9]+)|([\\+\\-]))において、 matcher.group(2)にマッチすれば、その文字列は数値トークンmatcher.group(3)にマッチすれば、その文字列は識別子トークン
- 数値と識別子の判定合わせた正規表現
- 実装はこちら
- 字句解析によってトークンに分解されたソースコードを、
- 構文解析によって抽象構文木(AST:Abstract Syntax Tree)を組み立てる
- 構文解析の主な仕事は、
- どのトークンからどのトークンまでが1つの式や文なのか、
- どの開き括弧トークンからどの閉じ括弧トークンまでが対応しているのかなど、
- トークン間の関係を解析すること
- 構文解析の主な仕事は、
- その解析結果を保持する入れ物が抽象構文木
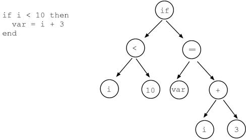
10+20+30の抽象構文木は下記のような構造- プログラムを解析し、このような構造にすることで、あとはノードを順番に辿っていくことで正しい処理を実現できる
- たとえばピンクの線のようにノードを辿っていくと
A+B/(C+D)-(E*F)が正しく計算されるように抽象構文木が構築されている例
- たとえば下記のプログラムを構文解析した例
- 抽象構文木を Java 上で保持するためのクラスを準備する
ASTLeafが末端のオブジェクトASTNumがNumTokenを保持ASTIdがIdTokenを保持
ASTExprが+を表現するオブジェクト、ここには足し算対象の2つのASTLeafも保持される- 実装はこちら
- 抽象構文木を構築する構文解析はちょっと置いておいて、
- 解析された抽象構文木を使ってプログラムを動かしてみる
@Test
public void test01() throws Exception {
//10+20の抽象構文木を手動で作成
final ASTNode leafLeft = new ASTNum(new NumToken(10));
final ASTNode expr = new ASTId(new IdToken("+"));
final ASTNode leafRight = new ASTNum(new NumToken(20));
final ASTNode nodes = new ASTExpr(leafLeft, expr, leafRight);
//実行
final Object result = nodes.eval();
assertThat(result, is(30));
}- 抽象構文木を手動で作成し、トップノードの
eval()を実行するeval()はインターフェースASTNodeで定義しているため、どのノードにも実装されている- 末端ノード
ASTLeafでeval()実行すると、単に保持しているトークンの値を返却する - 演算ノード
ASTExprでeval()実行すると、保持している演算子と2つのノードに対して決められた処理を実行する- たとえば
ASTExprが+と1020を保持していたら、10+20を処理する - ASTExpr.java
- たとえば
@Test
public void test02() throws Exception {
//10+20の抽象構文木
final ASTNode leafLeftLeft = new ASTNum(new NumToken(10));
final ASTNode expr = new ASTId(new IdToken("+"));
final ASTNode leafLeftRight = new ASTNum(new NumToken(20));
final ASTNode leafLeft = new ASTExpr(leafLeftLeft, expr, leafLeftRight);
//(10+20)+30の抽象構文木
final ASTNode leafRight = new ASTNum(new NumToken(30));
final ASTNode nodes = new ASTExpr(leafLeft, expr, leafRight);
//実行
final Object result = nodes.eval();
assertThat(result, is(60));
}- トップノードの
ASTNodeは、+と10+2030を保持している - トップノードで
eval()を実行すると、- まず保持している2つのノードのそれぞれの
eval()値を取得する - その上で
+処理をするため、再帰的にノードの階層構造が処理されることが分かる
- まず保持している2つのノードのそれぞれの
- 字句解析された
10+20+30を抽象構文木の構造に変換する処理
- 構文解析をするためには、はなもげら語の文法を定義する必要がある
- 例えば足し算の文法を
1 + 1とするか+ 1 1とするかなど
- 文法を言葉で構造化してみると、下記のように定義できる
- 因子:数値
- 項 :因子 と 因子 を 足し算できる
- この文法を構文解析に落としこむために、BNF という記法で記述する
factor ::= NUMBERexpression ::= factor ( '+' factor )*
- BNF を レールロード・ダイヤグラム で表現すると下記のようになる
- LL構文解析 を利用する
- トップダウン構文解析手法のひとつ
- 入力文字を左から解析していき、左端導出(Leftmost Derivation)を行うことからLL法と呼ぶ
- LL法は 再帰下降構文解析器 として、比較的簡単にプログラムできる
- 構文解析器 FirstParser クラスを実装する
- FirstParser はトークンリストを渡すと、下記のように ASTNode を返却する振る舞いをする
@Test
public void test() {
//字句解析
final List<Token> tokens = Lexer.toTokens("10 + 20 + 30");
//構文解析
final ASTNode nodes = new FirstParser(tokens).expression();
//実行
assertThat(nodes.eval(), is(60));
}- BNF で定義した文法に沿って、解析プログラムを実装する
leftとなる数値をトークンから取得し、ASTNode とする演算子となる識別子をトークンから取得し、ASTNode とするrightとなる数値をトークンから取得し、ASTNode とするleft演算子rightという ASTNode を作成し、leftに再セットする- トークンがなくなるまで、2 から 5 を繰り返す
- 実装はこちら
- 実行可能 jar を生成する
> mvn clean package
> java -jar target/hanamogera-1.0-SNAPSHOT.jar "10 + 20 + 30"
60- 四則計算を実装するには計算順序を考える必要がある(掛け算は足し算より優先する)
- その計算順序をBNFを使って表現すると、以下のように表せる
- 1stステップBNF
factor ::= NUMBERexpression ::= factor ( '+' factor )*
- 新しいBNF
factor ::= NUMBERterm ::= factor ( ('*'|'/') factor )*expression ::= term ( ('+'|'-') term)*- 最も基本的な要素は数値
- 次に基本的な要素(優先順位の高い要素)は * と /
- 1stステップBNF
> mvn clean package
> java -jar target/hanamogera-1.0-SNAPSHOT.jar "10 + 20 * 30 / 10"
70- 再帰下降構文解析器はコード冗長が多い
- BNFから分かるように文法は、小さな仕様の組み合わせから成り立っている
- 小さな仕様をそれぞれ関数として表し、関数と関数を組み合わせて文法として表現できると良い
- そのような高階関数的な仕組みをもったライブラリをパーサコンビネータと言う
- たとえばパーサコンビネータ・ライブラリ
Parserを利用してBNFを記述すると
//factor::= NUMBER
Parser factor = rule().number(ASTNum.class)
//expression::= factor ( '+' factor )*
Parser expression = rule().expresssion(ASTExpr.class, factor, new Operators());- パーサコンビネータは、小さなメソッド群をメソッドチェインして組み合わせ、BNF文法を組み立てていく
- BNF表記をプログラム上で近いかたちで表現でき、かつ構文解析の機能性を持つ
- ぜんぜん別件だけど、ファントムタイプについて





