Last active
May 19, 2025 18:06
-
-
Save avallecam/62e465642635ed608294b715cf861bc4 to your computer and use it in GitHub Desktop.
reporting delays bias CFR
This file contains hidden or bidirectional Unicode text that may be interpreted or compiled differently than what appears below. To review, open the file in an editor that reveals hidden Unicode characters.
Learn more about bidirectional Unicode characters
| ``` r | |
| # packages ---------------------------------------------------------------- | |
| library(tidyverse) | |
| library(incidence2) | |
| # input ------------------------------------------------------------------- | |
| onset <- tibble( | |
| date = seq(ymd(20200101),ymd(20200104),1), | |
| cases = c(1,2,3,1), | |
| group = "onset" | |
| ) | |
| report <- tibble( | |
| date = seq(ymd(20200103),ymd(20200106),1), | |
| cases = c(1,2,3,1), | |
| group = "report" | |
| ) | |
| death <- tibble( | |
| date = seq(ymd(20200105),ymd(20200108),1), | |
| cases = c(1,2,3,1), | |
| group = "death" | |
| ) | |
| # cfr --------------------------------------------------------------------- | |
| bind_rows( | |
| onset, | |
| report, | |
| death | |
| ) %>% | |
| pivot_wider( | |
| names_from = group, | |
| values_from = cases | |
| ) %>% | |
| replace_na( | |
| list( | |
| report = 0, | |
| death = 0)) %>% | |
| mutate( | |
| cum_report = cumsum(report), | |
| cum_death = cumsum(death) | |
| ) %>% | |
| mutate(cum_cfr = cum_death/cum_report) %>% | |
| select(date,starts_with("cum_")) | |
| #> # A tibble: 8 × 4 | |
| #> date cum_report cum_death cum_cfr | |
| #> <date> <dbl> <dbl> <dbl> | |
| #> 1 2020-01-01 0 0 NaN | |
| #> 2 2020-01-02 0 0 NaN | |
| #> 3 2020-01-03 1 0 0 | |
| #> 4 2020-01-04 3 0 0 | |
| #> 5 2020-01-05 6 1 0.167 | |
| #> 6 2020-01-06 7 3 0.429 | |
| #> 7 2020-01-07 7 6 0.857 | |
| #> 8 2020-01-08 7 7 1 | |
| # confidence intervals --------------------------------------------------- | |
| cumcfr <- bind_rows( | |
| onset, | |
| report, | |
| death | |
| ) %>% | |
| pivot_wider( | |
| names_from = group, | |
| values_from = cases | |
| ) %>% | |
| replace_na( | |
| list( | |
| Report = 0, | |
| Death = 0)) %>% | |
| mutate( | |
| cum_report = cumsum(Report), | |
| cum_death = cumsum(Death) | |
| ) %>% | |
| mutate(cum_cfr = cum_death/cum_report) %>% | |
| select(date,starts_with("cum_")) | |
| cumcfr_ic <- cumcfr %>% | |
| filter(cum_death>0) %>% | |
| mutate(raw=pmap(.l = select(., x=cum_death,n=cum_report), | |
| .f = binom.test)) %>% | |
| mutate(raw=map(.x = raw,.f = broom::tidy)) %>% | |
| unnest(raw) %>% | |
| select(date,starts_with("cum_"),starts_with("conf")) | |
| cumcfr %>% | |
| left_join(cumcfr_ic) %>% | |
| ggplot(aes(date,cum_cfr)) + | |
| geom_point() + | |
| geom_line() + | |
| geom_hline(aes(yintercept = 1), lty = 2) + | |
| geom_ribbon( | |
| aes(ymin = conf.low, ymax = conf.high), | |
| alpha = 0.2, | |
| fill = "blue" | |
| ) + | |
| theme_bw() + | |
| labs(x = NULL, | |
| y = NULL, | |
| title = "Naive CFR") | |
| # ggsave( | |
| # "figure/delays_cfr-trend.png", | |
| # width = 4, | |
| # height = 1.7, | |
| # dpi = "retina" | |
| # ) | |
| # plot -------------------------------------------------------------------- | |
| # useful | |
| # https://stats.stackexchange.com/a/352351/127936 | |
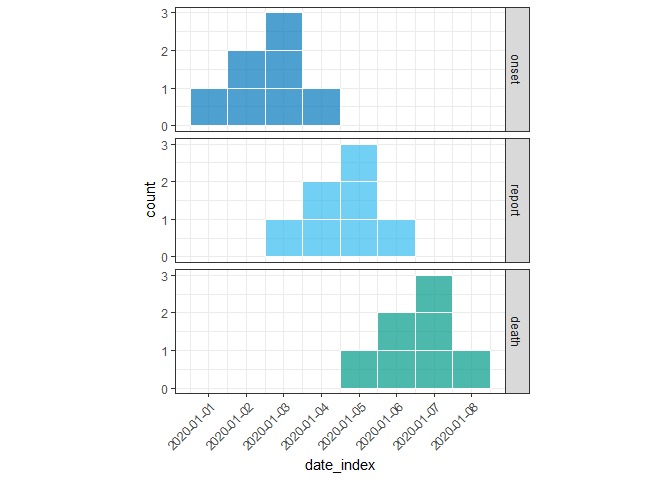
| bind_rows( | |
| onset, | |
| report, | |
| death | |
| ) %>% | |
| uncount(cases) %>% | |
| group_by(group) %>% | |
| mutate(id = seq(1,n(),1)) %>% | |
| ungroup() %>% | |
| pivot_wider( | |
| names_from = "group", | |
| values_from = "date" | |
| ) %>% | |
| incidence( | |
| date_index = c( | |
| onset = "onset", | |
| report = "report", | |
| death = "death" | |
| ) | |
| ) %>% | |
| mutate( | |
| count_variable = fct_relevel( | |
| count_variable,"onset","report" | |
| ) | |
| ) %>% | |
| plot( | |
| i_epiet, | |
| show_cases = TRUE, | |
| angle = 45, | |
| n_breaks = 10 | |
| ) | |
| ``` | |
| <!-- --> | |
| <sup>Created on 2024-04-16 with [reprex v2.1.0](https://reprex.tidyverse.org)</sup> |
Sign up for free
to join this conversation on GitHub.
Already have an account?
Sign in to comment

