Created
March 22, 2012 03:36
-
-
Save i2pi/2155443 to your computer and use it in GitHub Desktop.
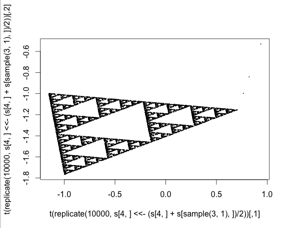
sierpinski
This file contains hidden or bidirectional Unicode text that may be interpreted or compiled differently than what appears below. To review, open the file in an editor that reveals hidden Unicode characters.
Learn more about bidirectional Unicode characters
| s=embed(rt(5,1),2);plot(t(replicate(1e4,s[4,]<<-(s[4,]+s[sample(3,1),])/2)),cex=.1) |
Author
runif(1,1,4) --> sample(3,1) thanks to Brian!!
You are welcome. Enjoyed the talk last night.
Author
Sign up for free
to join this conversation on GitHub.
Already have an account?
Sign in to comment

looks like you are trying to make the shortest R code ever to draw sierpinski triangle... I did not know
embed()before. Great tips!